在现在这个快节奏的社会,于繁忙之中,喝上一杯茶,不仅可以消除疲劳,还能涤烦益思,带来精神上的一丝享受。数据显示,茶是仅次于水的全球销量最大的饮料,据统计 2020 年全球销量约为 63 亿公斤,预计到 2025 年还将增长 17.4%[1]。
体内、外研究表明,茶多酚对炎症和预防慢性疾病具有一定的益处,包括一些癌症、糖尿病和心血管疾病 [2]。然而,目前关于喝茶是否与胃癌风险相关,已有的流行病学研究结果显示不一致,尚存在争议 [3-5]。
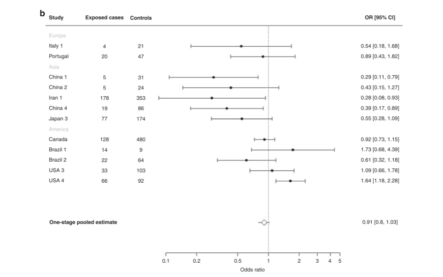
近日,由米兰大学 Georgia Martimianaki 教授领衔的研究团队,在British Journal of Cancer 上发表了一项最新分析结果 [6]:全球胃癌联合(StoP)项目数据显示,与不经常喝茶者相比,经常喝茶者调整后的胃癌发生比值比(OR)为 0.91,若每天喝茶 1-2 杯,OR 为 1.01;而每天喝茶≥3 杯,OR 则降到 0.91。
此外,在经常饮用绿茶的中国和日本(OR:0.67)、幽门螺杆菌(Hp)感染者(OR:0.68),以及贲门癌受试者中(OR:0.64),饮茶与胃癌风险之间存在较强的负相关性,这些数据都提示,喝茶,可能是防胃癌的妙招!
本研究纳入了 StoP 项目中的 22 项相关研究,这些研究覆盖的地域广泛,包括希腊、意大利、加拿大、俄罗斯、葡萄牙、美国、西班牙、日本、墨西哥、巴西、伊朗和中国。一共有 9438 例胃癌患者和 20451 例对照。
与对照组相比,病例组男性比例较多(66.1% vs 59.6%)、65 岁以上者所占比例多(52.8% vs 45.4%),且社会经济地位较低(50.6% vs 37.3%);此外,病例组中正在频繁吸烟者比例(8.2% vs 6.7%)、每天酗酒≥4 杯者比例(15.0% vs 11.2%),且有胃癌家族史者所占比例均较多(18.4% vs 8.3%)。
研究人员通过一阶段分析发现,与不经常喝茶者相比,经常喝茶者调整后的 OR 为 0.91(95% CI:0.85-0.97);两阶段分析所得 OR 与一阶段分析相似(OR:0.92,95% CI:0.82-1.05)。

整个研究中经常喝茶者和胃癌的相关性分析
在 22 项相关研究中,有 18 项研究收集了饮茶强度的相关信息,其中,26.2% 的病例组和 30.6% 的对照组报告每天喝茶≥1 杯。
一阶段分析显示,与不经常喝茶者相比,每天喝茶≥1 至 < 2 杯者,调整后 OR 为 1.03(95% CI:0.94-1.12);每天喝茶≥2 至 < 3 杯者调整后 OR 为 0.98(95% CI:0.88-1.10);每天喝茶≥3 杯,调整后 OR 为 0.91(95% CI:0.80-1.03),尽管未达到统计学显著性(p=0.27),但随着喝茶增多,OR 值呈下降的趋势。

每天喝茶≥3 杯者与胃癌的相关性
当对喝茶习惯进行特定类别的分析时,结果显示,与不喝茶者相比,喝冷茶或温茶者与胃癌风险呈显著负相关(OR:0.65,95% CI:0.53-0.79);而对于喝热茶或非常热茶(OR:1.04,95% CI:0.88-1.23)和浓茶或非常浓茶者(OR:1.11,95% CI:0.89-1.39),与胃癌风险无相关性。

根据喝茶习惯分析胃癌病例和对照组的分布情况
研究人员进一步对喝茶者信息进行分层分析,结果显示有三个变量存在明显的异质性,包括地理区域(Q=11.5,p<0.001)、Hp 感染(Q=5.7,p=0.017),以及对照组来源(Q=8.5,p=0.003) 。
其中,亚洲研究显示喝茶与胃癌风险降低有关(OR:0.62,95% CI:0.48-0.81),而欧洲和美国的研究则没有相关性;在 Hp 感染者中存在显著负相关(OR:0.68,95% CI:0.58-0.80),而在未感染者中没有相关性(OR:0.96,95% CI:0.76-1.22);此外,风险降低仅限于基于人群的对照研究(OR:0.86,95% CI:0.80-0.92),而基于医院的对照研究则没有相关性(OR:1.06,95% CI:0.94-1.19)。
此外,尽管没有显著的异质性,但喝茶对贲门癌(OR:0.64,95% CI:0.49-0.84)和非贲门癌(OR:0.77,95% CI:0.66),以及肠道组织学类型(OR:0.76, 95% CI:0.63-0.92)也具有一定的负相关性。

分层分析各变量与胃癌风险相关性
最后,研究人员通过自然三次样条法拟合喝茶强度与胃癌风险之间的剂量反应关系,结果显示,每天喝茶三杯到十杯,风险逐渐降低。

喝茶强度(作为连续变量)与胃癌风险相关性
综上所述,本研究基于全球 StoP 项目的多项研究数据,表明喝茶与胃癌之间存在一定的负相关性。但喝茶的习惯、茶的种类等对相关性都有影响,所以喝茶防胃癌,也一定要喝对茶、会喝茶呢。
参考文献:
[1] Statista. Volume of tea consumption worldwide from 2012 to 2025 (in million kilograms). 2021. https://www.statista.com/statistics/940102/global-tea-consumption/. Accessed 2 September 2021.
[2] Singh BN, Shankar S, Srivastava RK. Green tea catechin, epigallocatechin-3-gallate (EGCG): mechanisms, perspectives and clinical applications. Biochem Pharmacol. 2011;82(12):1807-1821. doi:10.1016/j.bcp.2011.07.093
[3] Deandrea S, Foschi R, Galeone C, La Vecchia C, Negri E, Hu J. Is temperature an effect modifier of the association between green tea intake and gastric cancer risk?. Eur J Cancer Prev. 2010;19(1):18-22. doi:10.1097/CEJ.0b013e328330eb1a
[4] Hoshiyama Y, Kawaguchi T, Miura Y, et al. A nested case-control study of stomach cancer in relation to green tea consumption in Japan. Br J Cancer. 2004;90(1):135-138. doi:10.1038/sj.bjc.6601512
[5] Khan MM, Goto R, Kobayashi K, et al. Dietary habits and cancer mortality among middle aged and older Japanese living in hokkaido, Japan by cancer site and sex. Asian Pac J Cancer Prev. 2004;5(1):58-65.
[6] Martimianaki G, Alicandro G, Pelucchi C, et al. Tea consumption and gastric cancer: a pooled analysis from the Stomach cancer Pooling (StoP) Project consortium [published online ahead of print, 2022 May 24]. Br J Cancer. 2022;10.1038/s41416-022-01856-w. doi:10.1038/s41416-022-01856-w
来自: 奇点网

 
			 
			 
			 
			 
			 
			 
			 
			














