据New Atlas报道,麦吉尔大学的研究人员进行了一项首次研究,调查了某些癌症与生活在野火发生地附近的人之间的关系。研究结果显示,生活在过去10年发生的野火50公里(31英里)范围内的人群,脑瘤和肺癌的发病率较高。

暴露在野火中的急性健康影响是众所周知的。据报道,在野火期间,空气质量急剧下降,哮喘和心血管疾病的发病率较高。在一场大的野火之后,也经常看到一些不利的妊娠结果。
但人们对暴露在这些事件中的长期健康影响知之甚少。这项新研究通过研究加拿大约200万人的健康数据来填补这一知识空白,时间跨度为20年。
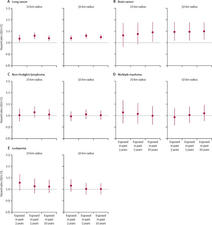
该研究调查了生活在野火20公里(12英里)和50公里范围内的人群,然后研究了接下来10年期间某些癌症的发病率。与那些没有接触过野火的人相比,研究发现那些生活在野火50公里范围内的人的肺癌发病率高4.9%,脑瘤发病率高10%。这些较高的癌症发生率在20公里半径的人群和50公里半径的人群中都是相似的。

“野火往往每年都发生在相同的地点,但我们对这些事件的长期健康影响知之甚少,”这项新研究的作者之一 Scott Weichenthal说。“我们的研究表明,生活在野火发生地附近可能会增加患某些癌症的风险。”
研究人员谨慎地强调,这些发现是观察性的,并没有指出具体的因果关系。因为这是第一个调查野火暴露和癌症风险之间潜在的长期联系的研究,需要做很多工作来了解到底是什么在驱动这种联系。
研究表明,除了在火灾发生后的几天和几周内暴露在烟雾中之外,野火可能有多种方式增加周围人群的癌症风险。例如,在野火发生后的几个月和几年里,土壤和水的污染已经被发现。这种污染可能包括重金属和其他挥发性有机化合物。

研究人员在新研究中指出:“此外,人们还担心野火衍生的污染物会在室内环境中保留很长时间,但很少有研究对这个问题进行研究。一项研究报告说,在美国新墨西哥州的一次重大野火事件发生后3-8个月,从家庭收集的擦拭样本中可以检测到炭的浓度。”
该研究也有很多局限性,需要进一步研究来解开。例如,该研究发现,在野火暴露程度低和高的人群中,癌症风险的增加是相似的。

研究人员建议,不同野火暴露的特征将需要在进一步的研究中得到澄清。也许有些野火使人口受到更危险的污染物的影响。而其他问题仍然没有答案,例如,与若干年来暴露在几个较小的野火中的人群相比,一场大的、单一的野火对健康的影响是什么?
尽管如此,这些发现仍然是新颖的,而且鉴于气候变化导致世界各地野火发生率的增加,研究人员指出,了解这些事件对健康的长期影响具有全球性的紧迫性。
“……鉴于研究的局限性,并且因为这是第一个调查野火和癌症风险之间关系的流行病学研究,我们强调不能从这个单一的研究中确定因果关系,”研究人员在他们对研究的结论中重申。“需要进一步的工作来完善用于估计野火对健康的慢性影响的暴露指标,以及在不同的地理位置和人口中进行复制。”
这项新研究发表在《柳叶刀·星球健康》上。
自 cnBeta.COM

 
			 
			 
			 
			 
			 
			 
			 
			












