规律和适当的运动一直以来都被证实对保持健康大有好处,每周进行适当时长的运动也可以大大降低全因死亡率。最新一项研究表明,每周运动的时长达到某些时间会更加能从运动中获益,同时也再次印证了过往的研究方向和指南。
7月25日,由Dong Hoon Lee等人发表的《Long-Term Leisure-Time Physical Activity Intensity and All-Cause and Cause-Specific Mortality: A Prospective Cohort of US Adults》中,研究人员们在30多年间对超过10万人展开了研究。结果表明,每周进行约150-300分钟/周的剧烈强度运动(Vigorous Physical Activity, VPA) 或300-600分钟/周的中度运动(Moderate Physical Activity, MPA),或两者的结合,都可以在最大程度上降低死亡率。

10万位研究对象每两年通过填写一份由护士或卫生专业人员提供的随访研究问卷,来报告和记录他们在休闲时间的运动情况。问卷每两年更新一次,其中包括相关的健康信息、临床诊断的疾病、家庭病史和个人习惯(如吸烟和饮酒以及锻炼频率)的问题。运动数据报告为过去一年每周花在各种体育活动上的平均时间。中度活动被定义为步行、低强度运动、举重和健美操等。剧烈活动包括慢跑、跑步、游泳、骑自行车和其他有氧运动。
在30年的随访调查中,10万个被随访人员中的一些人已经离世,回观他们之前的运动情况,研究员们通过整理和分析发现:与不运动的人相比,每周适度进行中度运动的人减少了 21-23%的死亡率,而每周进行剧烈强度运动人减少了 26-31%。
美国卫生与公众服务部发布的美国人体育活动指南中建议,成年人每周至少要进行 150-300 分钟的中等体育活动或 75-150 分钟/周的剧烈体育活动,或两种强度的等效组合。此研究的结果与指南中所描述的方向一致,并在此基础上稍做不同的数字范围调整。

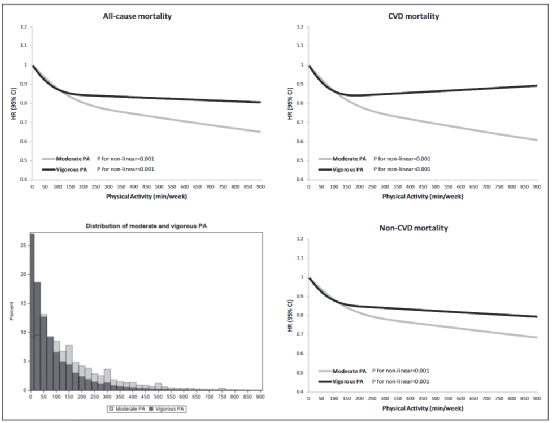
图1. 来源:《Circulation》。如图所示,分别为每周进行中度运动(MPA)或(剧烈强度运动(VPA)的时间长度和全因死亡率(左上)、心血管相关死亡率(右上)、和非心血管相关死亡率(右下)的关联。左下图为进行中度运动和剧烈运动的比例分布。
符合剧烈强度体育活动指南的参与者的心血管疾病(CVD)死亡风险降低了 31%,非心血管疾病死亡风险降低了 15%,所有原因导致的死亡风险总体降低了 19%。符合适度中度体育活动指南的参与者的CVD死亡风险降低 22-25%,非CVD死亡风险降低 19-20%,所有原因导致的总体死亡风险降低 20-21%。总的来说,进行超过推荐量的长期剧烈体育活动(150-300 分钟/周)2到4倍的参与者,观察到的CVD死亡风险降低了27-33%。
与指南相比,每周进行2到4倍指南推荐量的剧烈体育活动或中度运动,都可以在非常大程度上降低死亡率。分析结果中还表明,每周进行两倍于目前推荐范围的中等或剧烈体力活动的成年人的长期死亡风险是最低的。
然而,如果长期保持的高强度的体育活动(>300 分钟/周)或中等强度的体育活动(>600 分钟/周)的水平超过建议的每周最低限度的四倍的话,并不能进一步降低死亡。
充分的证据表明,规律的体育活动与降低心血管疾病和过早死亡的风险有关。“身体活动对健康的潜在影响很大,但仍不清楚进行高于推荐水平的长时间、剧烈或中等强度的身体活动是否会对心血管健康产生任何额外的益处或有害影响,”研究人员Dong Hoon Lee说, “我们的研究利用了几十年来对自我报告的身体活动的重复测量来检查成年中后期的长期身体活动与死亡率之间的关系。”
研究人员收集的超过 100,000 名成年人的死亡率数据和医疗记录来自以下群体:1988-2018 年全女性护士健康研究和全男性卫生专业人员随访研究。检查数据的参与者中有 63% 是女性,超过 96% 是白人成年人。在 30 年的随访期间,他们的平均年龄为 66 岁,平均体重指数 (BMI) 为 26 kg/m2。从某种角度上来说,研究的人群对象有可能限制此研究结果的普遍性 ;不过,目前还没有足够的证据表明,体育活动和健康结果之间的生物关系在不同种族和族裔群体之间有质的差异。所以适度运动会对健康有益的结论应该是通用的,但是可能会在不同种族中有运动时长或其它细节上的差异。
总之,迈开腿,动起来,总归是健康有益的。保持合理的运动,但是不要过度或过劳,就可以在很大程度上加强心肺功能和身体整体的健康。
Reference:
Long-Term Leisure-Time Physical Activity Intensity and All-Cause and Cause-Specific Mortality: A Prospective Cohort of US Adults | Circulation (ahajournals.org)
来自:生物谷

 
			 
			 
			 
			 
			 
			 
			 
			














